首页网6月28日电(通讯员 李雨清)近日,心博在线登录入口环境学院李俊华教授团队在一氧化碳(CO)催化氧化反应中的氧逆溢流研究方面取得新进展,揭示了由CO吸附引发的氧逆溢流界面化学过程。研究成果有助于设计合成新型热、光、电催化材料,用于环境治理与新能源领域。
氧物种的溢流过程在氧化还原反应中至关重要,但与氢溢流相比,氧溢流的机制尚不清晰。该研究针对尾气中的低浓度CO污染物,探究了Pt/TiO2催化剂氧化CO的反应过程。研究结果显示,将Sn掺杂到载体TiO2后激活了低温(<100°C)下Pt/TiO2催化剂中的氧逆溢流过程,显著提升了Pt/TiO2催化剂的CO氧化活性。结合近常压X射线光电子能谱技术(XPS)、原位拉曼/红外光谱和从头算分子动力学模拟,揭示了氧逆溢流过程是由CO在Pt2+位点的吸附引发的Sn-O-Ti键断裂,随后O迁移至活性位点导致Pt4+的生成。

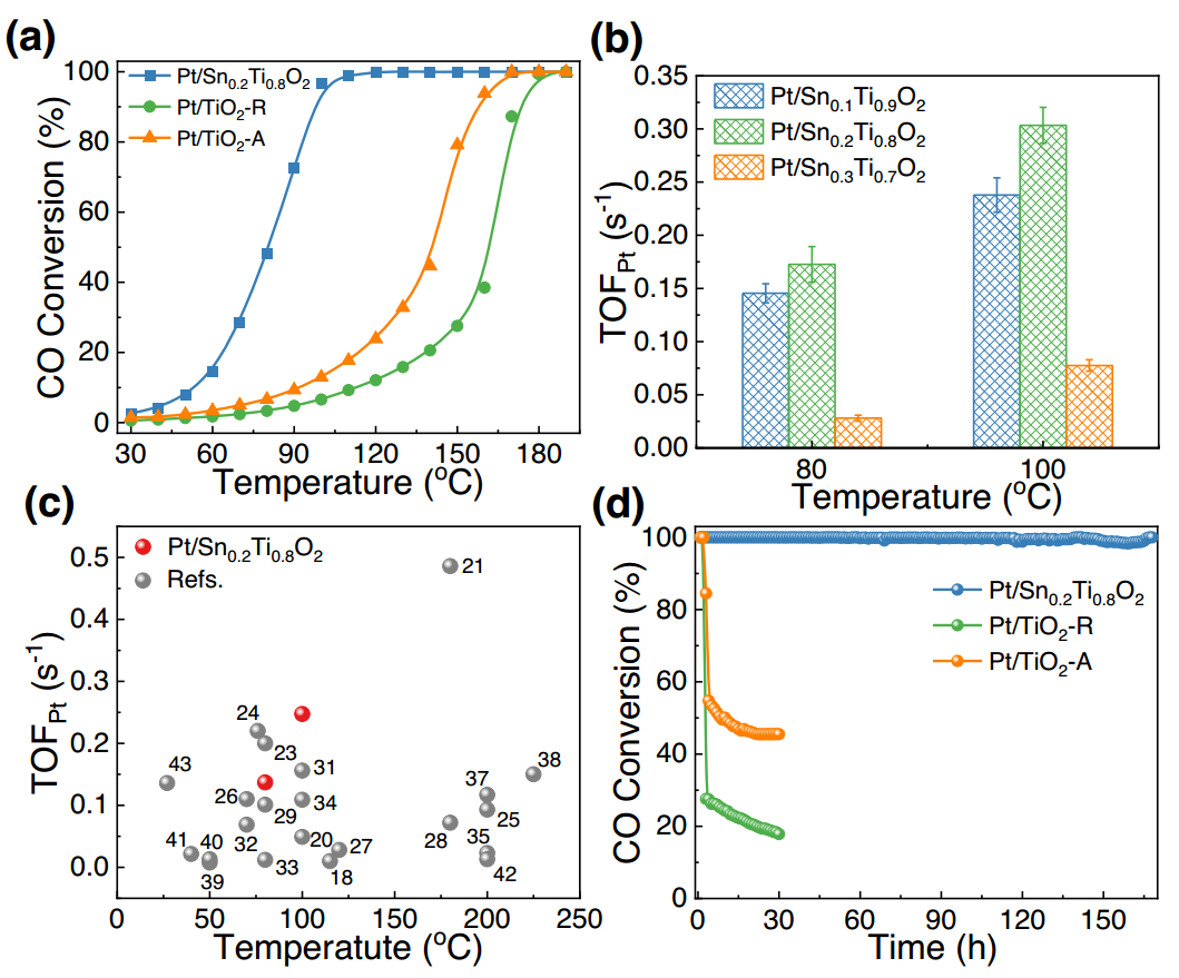
图1. CO氧化活性和稳定性测试
活性测试结果显示,在相同Pt负载下,Pt/Sn0.2Ti0.8O2的CO氧化活性最好,表明Sn掺杂对促进CO低温氧化起着重要作用,且Sn的最佳掺杂量为0.2。此外Pt/Sn0.2Ti0.8O2还具有优异的抗硫能力和耐水性。

图2. Pt/Sn0.2Ti0.8O2、Pt/TiO2-R和Pt/TiO2-A的原位NAP-XPS和原位拉曼光谱
在整个原位NAP-XPS研究中,没有检测到金属Pt物种的峰。经H2预处理后,均只观察到Pt2+,进一步O2处理后,未观察到Pt4+。然而,Pt/Sn0.2Ti0.8O2引入CO + O2会生成Pt4+物种,且Pt4+仅在通入CO时存在。Pt/TiO2-R和Pt/TiO2-A催化剂不存在上述现象。此外,Pt/Sn0.2Ti0.8O2表面Pt2+氧化为Pt4+和CO氧化同时发生,表明晶格氧先转移到Pt位点上,然后再将CO氧化为CO2,即发生了氧逆溢流现象。原位拉曼光谱中的所有峰均为Ti-O的振动,其中只有Pt/Sn0.2Ti0.8O2催化剂在的原位拉曼光谱峰发生了偏移,表明载体中的O配位环境发生改变,侧面证明了氧逆溢流的发生。

图3. Pt/Sn0.2Ti0.8O2和Pt/TiO2-R上CO氧化的DFT模拟
采用密度泛函理论(DFT)模拟研究了Pt/Sn0.2Ti0.8O2和Pt/TiO2-R吸附CO后的电荷密度变化。Pt/Sn0.2Ti0.8O2催化剂吸附CO后Sn-O-Ti中O的电荷密度增加,促使了氧逆溢流的发生,参比样品Pt/TiO2-R催化剂则无上述现象。此外,从头算分子动力学模拟结果也直观地观测到了氧逆溢流过程。
研究成果以“Sn掺杂Pt/TiO2催化剂低温CO氧化反应中由CO吸附触发的氧逆溢流作用”(Reverse Oxygen Spillover Triggered by CO Adsorption on Sn-doped Pt/TiO2for Low-Temperature CO Oxidation)为题在线发表在《自然·通讯》(Nature Communication)上。
论文第一作者为心博在线登录入口环境学院陈建军副研究员,论文共同第一作者和共同通讯作者为西南交通大学熊尚超助理教授(心博在线登录入口环境学院2021届博士毕业生),论文通讯作者为心博在线登录入口环境学院李俊华教授。研究获国家重点研发计划、国家自然科学基金等项目资助。
论文链接:
https://www.nature.com/articles/s41467-023-39226-6
供稿:环境学院
题图设计:曾仪
编辑:李华山
审核:郭玲